智能監控潤滑劑對于機器的運行至關重要,因為機器中關鍵動態部件的意外和致命故障每天都會發生,威脅著人類的生命和健康。
受水摩擦納米發電機(TENG)的啟發,我們提出了一種可行的方法來制備自供電摩擦電傳感器,通過油固接觸(O-S TENG)的接觸起電過程實時監測潤滑油。可以成功監測純基礎油中的典型侵入污染物。O–S TENG 具有非常好的靈敏度,甚至可以分別檢測至少 1 mg mL –1 的碎片和 0.01 wt% 的水污染物。此外,還實現了對真實發動機油箱中配制的發動機潤滑油的實時監控。我們的結果表明,在接觸起電過程中,電子可以從油轉移到固體表面。電輸出特性取決于磨損碎片、沉積碳和油中老化引起的有機分子等的屏蔽效應。先前的工作僅定性地確定了通過減少TENG表面吸附的液體可以提高液體的輸出能力,但沒有研究液體的吸附質量和吸附速度及其對輸出性能的影響。我們通過液固接觸界面的石英晶體微天平耗散(QCM-D)定量研究了潤滑油的輸出能力和吸附行為之間的內在關系。本研究為潤滑油智能診斷提供了一種實時、在線、自供電的策略。
人類文明和文化傳播很大程度受益于現代工業的發展,其中汽車、火車、輪船、飛機在便捷、高 效、安全等方面發揮著重要作用。(2?4)機器中關鍵動態部件的意外致命故障每天都會發生,威脅著人類的生命和健康。因此,為了確保可靠地提供機器服務,可靠的狀態監測 (CoMo) 非常重要。
隨著工業4.0自動化程度的提高,智能機器需要能夠理解或感知故障,并通過人工智能和機器學習做出相應的決策。潤滑油可以將機器壽命延長數量級,對于節能減排具有重要意義。
使用潤滑劑是控制摩擦和磨損的有效方法,因為運動的機械接口通常通過流體潤滑膜進行潤滑和隔離。因此,潤滑劑是檢測機器故障策略中的重要信息來源,可與人體血液在檢測和預防疾病中的作用相媲美。潤滑劑的實時檢測可以消除昂貴的機器停機檢查的需要,否則需要這樣做以避免運行期間發生災難性部件故障的可能性。
潤滑油中經常存在熱氧化、磨屑、積碳、燃油和水分等侵入污染物,是導致潤滑失效的主要問題。例如,發動機部分產生的熱量會影響油的性能。潤滑油的氧化安定性低,在高溫老化下可能會導致油酸化和積碳。
在運行中,當摩擦表面磨損時,油中磨屑的比例逐漸增加(鐵和銅屑),碎片的尺寸在10-100μm范圍內。當活塞在氣缸內往復運動時,燃料或水可能通過活塞/氣缸的摩擦界面滲入發動機潤滑油。燃油和水不僅會損害油質和潤滑性能,還會腐蝕機器。
有許多方法可用作監測潤滑油質量的傳感器。一些例子包括光學方法、聲發射檢測方法和電磁感應技術。傳統上,一些污染物的侵入總是可以通過潤滑劑介電常數的變化來反映,因此可以通過監測所用潤滑劑的介電常數來及時檢測污染物。然而,這些方法只能通過離線監測提供有關黑色金屬磨損碎片進展的有限信息,并且精度相對較低。
目前的傳感器只能檢測最低濃度約為1 mg mL –1的直徑為100~300 μm的大顆粒,并且只能檢測低至0.33 wt%的水污染物。大多數傳統的檢測傳感器都非常大且笨重,需要安裝或連接到設備系統,可能會對監控系統造成干擾。由于依賴外部電源,能耗對其小型化、輕量化是一個挑戰,且使用壽命有限。迫切需要開發一種自供電、高靈敏度、小型甚至靈活的檢測系統,對潤滑油進行實時在線監測。
Wang 及其同事于 2012 年開發了基于摩擦起電和靜電效應結合的摩擦納米發電機(TENG),用于能量收集和自供電監測。基于TENG的傳感器已成功用作機械傳感器來檢測水波、液體流速,和有機的和離子濃度基于液固接觸起電。受水基系統工作的啟發,我們提出了一種開發用于油狀態監測的 TENG 的方法。液固接觸的帶電過程可以通過液固接觸界面上的電子和離子轉移而產生大規模的表面電荷。
研究發現,電子轉移是固-固情況下摩擦起電過程的主要機制,因此不含離子的潤滑油可以通過油固界面之間的電子轉移產生一定量的電荷。在這項研究中,我們提出了一種可行的方法來制備和應用使用油固相互作用 TENG (O-S TENG) 的自供電摩擦電傳感器,用于實時、在線監測潤滑油。首先,使用三種純基礎油(聚α烯烴6、石蠟油和菜籽油)和典型的污染物侵入(即熱老化、磨損碎片、積碳、柴油和水)。通過液固界面上的摩擦起電,接觸摩擦層產生的電信號可以檢測潤滑油狀況。闡述了 O-S TENG 的工作機制。在模型研究的基礎上,開發了一種傳感器,用于發動機實際運行中潤滑油的實時在線監測。結果表明,該傳感器在構建自供電、實時、在線的潤滑油監測系統方面具有巨大的潛力。
O-S TENG的結構和工作原理
用于檢測油中污染物的摩擦電傳感器是通過使用覆蓋有銅箔的滴管開發的,如圖S1所示。通常,使用聚四氟乙烯(PTFE)、低密度聚乙烯(LDPE)或玻璃(GLASS)管作為基板,并將銅層沉積在管的外表面上,形成單電極TENG傳感器。對于圖1a中的液體流量傳感器,油流(PAO-6、石蠟或菜籽油)從滴管的握把尖端被擠壓或松開,然后油流主動穿過 TENG 表面,油流運動會產生電輸出信號。如圖1b所示,所開發的 O-S TENG 的輸出信號生成基于摩擦起電和靜電感應。
由于與 Cu 的相互作用,PTFE 和 LDPE 的非金屬表面層保留了一層負束縛電荷,而 GLASS 表面由于摩擦電序中的位置不同而保留正電荷,如圖 S2支持信息所示。PTFE 和 LDPE 基 TENG 的初始電壓輸出在信號漂移較弱的保持階段后主要為正。相反,基于 GLASS 的 TENG 顯示相對負電壓信號,如圖S3所示。本研究中監測油況的關鍵是從輸出值的幅值和電壓信號的變化趨勢出發,因此,將典型的電壓輸出統一處理在一條基線(零軸)上。

圖 1. O-S TENG 的結構示意圖和工作原理。(a) 所開發的O-S TENG傳感器的結構示意圖。(b) 由純潤滑油和銅電極之間的界面相互作用產生的典型輸出信號。(c) 污染物侵入的潤滑油的輸出生成。
當油分子最初接近沒有預先存在表面電荷的原始表面時,會發生初始電子轉移以使固體表面帶電(圖S4)。非金屬表面會吸引帶電的油分子,形成雙電層(EDL),屏蔽非金屬層的靜電感應電荷。因此,在短路條件下,電子將從地流向銅電極以達到電平衡。當流離開非金屬層時,屏蔽效應將消失,電子將從Cu流向地面,以達到新的電平衡。如圖1c所示,潤滑油中的污染物會改變油的電氣化過程性能,并且可以從O–S TENG電力輸出中反映出來。基于上述工作機制,O-S TENG具有監測潤滑油狀況的潛力。為了闡明污染物在改變 O-S TENG 輸出信號中的作用,系統地研究了影響因素,即熱老化、磨損碎片、沉積碳、燃油和水,如表 S1所示。
O–S TENG 進行基礎潤滑油狀態監測
實際設備運行過程中,潤滑油不可避免地會發生熱氧化。因此,熱老化是油品變質的重要標志。為了證明 O-S TENG 的適用性,首先制備了不同老化程度的純基礎油。測試時,管內每個油流的體積約為2 mL,通過手動擠壓和松開,將油流過電極表面的頻率設置在1±0.1 Hz左右。圖2顯示了由純基礎油驅動的O-S TENG在不同老化時間段(0~192 h)下的電壓輸出。如圖2a -c所示,當油與PTFE管接觸流動時,三種純基礎油的輸出值約為0.1V。對于老化的PAO-6油流,隨著老化時間的增加(最多12小時),輸出電壓從0.1 V增加到0.33 V。當老化時間為48 h時,石蠟油的最大輸出值約為0.32 V,而菜籽油老化3 h后輸出值沒有增加。如圖2d -i所示,LDPE和GLASS管的電壓信號變化趨勢與PTFE管相似,這進一步證實了熱老化極大地影響了O-S TENG的輸出,并且O-S TENG可以有效地監測潤滑油的老化程度。

圖 2. 5 秒內熱老化對 O–S TENG 監測純基礎油輸出電壓的典型信號曲線。基于 PTFE 的 O–S TENG 監測 PAO-6 油 (a)、石蠟油 (b) 和菜籽油 (c)。基于 LDPE 的 O–S TENG 監測 PAO-6 油 (d)、石蠟油 (e) 和菜籽油 (f);基于玻璃的 O-S TENG 監測 PAO-6 油 (g)、石蠟油 (h) 和菜籽油 (i)。
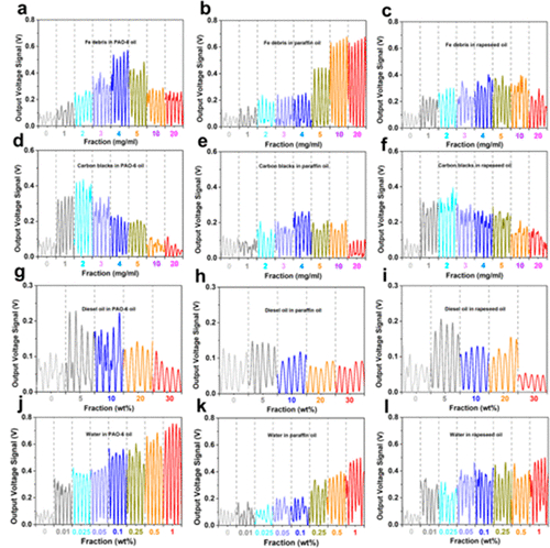
作為磨損過程和碳沉積副產品的典型污染物成分隨著時間的推移逐漸增加,導致機器老化甚至故障。監測污染物對于避免災難性故障至關重要。我們將鐵/銅顆粒作為磨損碎片和炭黑分散在基礎油中,以模擬經歷實際磨損和積碳過程的潤滑油。Fe/Cu碎片和炭黑的測試分數和形態分別總結在表S1和圖S5中。如圖S6所示,隨著分數的增加,輸出值先增大后減小,PTFE基O-S TENG的電壓輸出變化趨勢與LDPE基和GLASS基的電壓輸出變化趨勢非常一致。 O-S TENG。

圖3面板 a-c 顯示了由碎片流驅動的基于 PTFE 的 O-S TENG 的電壓輸出,碎片范圍為 0 mg mL –1至 20 mg mL –1。與充滿 Fe 碎片的 PAO-6 流接觸時,O-S TENG 裝置在碎片分數為 4 mg mL –1時的最大輸出電壓為 0.58 V。對于石蠟和油菜籽流,最大輸出電壓分別為 0.65 V(10 mg mL –1時)和 0.37 V(4 mg mL –1時)。圖S7中,含Cu碎屑流的電壓值也隨著Cu碎屑含量的增加而增大,然后在高含量處降低。當與圖3d -f所示的含炭黑流接觸時,隨著分數的增加,基礎油的輸出電壓也出現高峰值,但臨界分數值遠低于Fe和Cu碎片的臨界分數值。滿載的流動。在實際設備運行過程中,發動機燃燒室中的燃油總是從氣缸壁與活塞之間的摩擦接觸區域進入發動機潤滑油。圖3
圖 3. PTFE 基 O–S TENG 監測純基礎油的輸出電壓在 5 秒內的典型信號曲線。影響 PAO-6 油 (a)、石蠟油 (b) 和菜籽油 (c) 的 O-S TENG 輸出的各種鐵碎片 (0~20 mg mL –1 )。影響 PAO-6 油 (d)、石蠟油 (e) 和菜籽油 (f) 的 O-S TENG 輸出的不同炭黑餾分 (0~20 mg mL –1 )。不同柴油餾分(0~30 wt%)影響 PAO-6 油(g)、石蠟油(h)和菜籽油(i)的 O-S TENG 產量。影響 PAO-6 油 (j)、石蠟油 (k) 和菜籽油 (l) 的 O-S TENG 輸出的各種水分數 (0~1 wt%)。
還研究了燃油(柴油)的影響(圖3g -i和圖S8)。可以清楚地看到,在高柴油分數下,電壓值逐漸降低。由于工業含油廢水的增加以及相關事故的頻繁發生,油水監測和分離是世界范圍內關注的挑戰。(46?48)油中水的監測是一個界面挑戰,使用 TENG 傳感器是應對這一挑戰的有效方法。如圖3 j-l 和圖 S9所示,所有基礎油的電壓輸出隨著水含量的增加而持續增加,分別通過基于 PTFE、基于 LDPE 和基于玻璃的 O-S TEGN。特別是,對于 PAO-6 和菜籽油的含水流,當水含量僅增加到 0.01 wt% 時,輸出電壓明顯從 0.1 V 增加到 0.3 V ,如圖 3 j和圖3 l 所示,這意味著盡管水含量非常低,但開發的 O-S TENG 對于監測油中的水仍表現出很高的靈敏度。
潤滑油的電輸出機制
根據上述O-S TENG的輸出電壓,可以發現,含水油流量的變化趨勢與Fe、Cu碎屑和炭黑流量的變化趨勢不同。當油流中的水接觸 O-S TENG 表面時,輸出電壓將會增加,因為水/固體帶電的輸出高于先前工作中報道的油/固體帶電的輸出。另外,眾所周知,水的表面張力(62~72 mJ m –2)遠高于油的表面張力(31~35 mJ m –2),(21,49)這意味著當油中添加水時,油流與TENG表面接觸的界面潤濕性更弱,即水更傾向于離開表面,從而減少水殘留。
相反,可以理解,在高分數時,載有柴油的流的輸出明顯下降,因為表面張力非常低(28 mJ m –2)的柴油很容易在TENG表面上鋪展和吸附。老化基礎油(老化PAO-6油、老化石蠟油、老化菜籽油)的輸出性能與含Fe/Cu碎屑和含炭黑的油有很好的一致性,即輸出電壓略有增加,然后隨著污染物含量的增加而逐漸減小。隨著熱老化的增加,PAO-6和石蠟油的顏色逐漸從無色變為橙色,如圖S10所示。這意味著這兩種純油經過長時間的陳化已經嚴重氧化,穩定性不如菜籽油。
根據圖S11中的傅里葉變換紅外光譜(FTIR)結果,存在許多含氧組分(羧酸根、羰基(1158 cm –1 )和羥基(3470 cm –1 )基團),特別是PAO中生成的羧酸根-6和石蠟油經過長時間的老化(48~192 h)。(50,51)因此,這些老化油比純基礎油顯示出更高的極性和更高的離子濃度,因此輸出值和熱老化時間之間的正相關關系是由于離子轉移過程的增強。富含鐵/銅碎片和富含炭黑的油的輸出信號增加被認為是由于污染物侵入(鐵、銅和碳顆粒)比有機成分(油分子)具有更高的摩擦生電能力造成的,從而增強 O-S TENG 的接觸電氣化。然而,輸出電壓信號在污染物含量較高時會降低,這很可能是由于流體通過后管子上不可避免地粘附有油。
例如,如圖S12所示,在測試高碎片分數(20mg·mL -1 )的石蠟油后,明顯的污染物吸附在非金屬表面的內壁上,因此帶有一些電荷的污染物殘留在表面上,導致電影上摩擦電荷的部分篩選。同樣,經過多次擠壓和松散過程后,老化油中的橙色有機成分很容易吸附在O-S TENG的內壁上,例如石蠟油經過高老化時間(192小時)后(圖S12 )。
油流在表面的吸附行為對于 TENG 的輸出能力起著至關重要的作用。因此,我們定量研究了潤滑油的吸附性能。我們使用具有耗散功能的石英晶體微天平 (QCM-D) 對 O-S TENG 內壁吸附層的形成進行動力學分析。在圖4a中,由于油分子吸附到基質上,觀察到純基礎油(0小時)的頻率迅速下降。頻率值隨時間變化非常穩定,允許300 s的吸附時間,以確保飽和油吸附在基材上。然后依次研究老化不同時間(3~192 h)的油。對于較長的老化時間(96~192 h),觀察到頻率顯著下降,這意味著較長時間的老化油在基材上吸附更多。
此外,當將基礎油注入QCM單元時,獲得由吸附引起的耗散的增加,如圖S13所示。可以清楚地看出,耗散足夠小(Δ D < 10Δ f)(Δ D,耗散;Δ f,諧振頻率),因此基板上的吸附膜被驗證為剛性層,并且 Sauerbrey 方程可以用于根據頻率變化計算吸附質量。吸附質量的結果總結在圖4b中。發現這些油的吸附量隨著老化時間的增加而增加。陳化石蠟油經過長時間陳化(192 h)后,其吸附量達到最低值(11.5 mg cm –2),而陳化菜籽油的吸附量則高達17.1 mg cm –2。在整個老化時間(0~192 h)內,老化石蠟油的吸附質量最小。老化菜籽油總是比其他兩種基礎油具有更大的吸附質量,這進一步證實了圖2中的結果,即老化菜籽油的產值遠低于老化石蠟油和老化PAO-6油。

圖4.潤滑油的吸附行為和電輸出機制。(a) QCM-D 數據顯示歸一化頻率隨老化時間的增加而變化。(b) 通過 QCM-D 測量基礎油在 Au 基底上的油分子吸附質量。(c) PTFE 基 O–S TENG 基礎油的輸出電壓與老化時間的函數關系。(d) 基礎油的 TAN 值與老化時間的函數關系。(e) 進入污染物的臨界分數和基礎油的吸附量。(f) O-S TENG與含污染物油接觸的實際工作原理示意圖以及不同階段的電荷分布。
雖然所有老化基礎油的輸出電壓均先上升后下降(圖2),但臨界老化時間不同,如圖4c所示。老化石蠟油的臨界老化時間高達48 h左右,而老化PAO-6油和菜籽油的臨界老化時間分別為24和3 h。這是因為老化的石蠟油最難吸附在表面(圖4b),因此屏幕效果弱很多,盡管老化時間增加,輸出信號仍能保持較高的值。
相比之下,陳化菜籽油的相應吸附膜具有很強的粘附作用,很容易在表面沉積,因此屏蔽效應是不可逆的,輸出信號迅速下降。除了臨界老化時間外,這些基礎油在不同老化時間下的輸出值也不同。可以看出,在陳化時間0~5 h期間,陳化菜籽油的產值略高于陳化PAO-6油和陳化石蠟油(圖4c )。在老化初期,陳化菜籽油的總酸值(TAN)遠高于其他基礎油(圖4d ),因此較高的產量歸因于陳化菜籽的離子轉移過程的增強盡管存在表面吸附作用,但油仍能被去除。隨著老化時間的增加(最長約35 h),老化PAO-6油的TAN急劇增加,這意味著離子轉移對老化PAO-6油起著顯著的作用。
對于石蠟油,當老化時間從35 h增加到90 h時,老化石蠟油的TAN與老化PAO-6油一樣大,并且老化石蠟油的吸附質量值要小得多(圖4b ); 因此,陳化石蠟油的產值最高。此外,當老化時間超過臨界值(PAO-6油為24 h;石蠟油為48 h)時,TAN急劇增加,老化PAO-6油和老化石蠟油的輸出電壓迅速下降,這證實了老化程度的增加導致油流中離子過多,會干擾電子傳遞過程。對于老化菜籽油,隨著老化時間的增加,TAN沒有明顯變化,但相應的吸附質量增加更明顯,這導致由于O-S TENG周圍吸附層的屏蔽效應導致輸出信號下降。
潤滑油的吸附行為不僅對老化油的輸出信號起著重要作用,而且直接影響含Fe/Cu碎屑和含炭黑油的輸出性能。如圖4e所示,純菜籽油、純PAO-6油和純石蠟油的吸附質量分別為12.7 mg cm- 2、11.6 mg cm -2和9.7 mg cm -2。與此同時,每種基礎油的污染物(鐵碎片、銅碎片和炭黑)的關鍵部分依次增加。吸附質量較大的潤滑油會攜帶更多的污染物殘留在O-S TENG表面,導致篩網效應快速飽和,導致產能下降。因此,雖然進入的污染物能夠有效地接觸非金屬介質表面,并能提供較高的油流預充電,但相應的強吸附油膜很容易沉積在表面上,因此屏蔽效應是不可逆的,輸出信號逐漸減小,如圖所示在圖4f中。
通過 O–S TENG 監測配方潤滑油狀態
為了監測工業應用的全配方潤滑油,使用含有各種廢油餾分的新鮮配制的商用發動機潤滑油(而不是上一節中的純基礎油)作為測試對象。如圖5a -c所示,該油的輸出電壓遠高于圖2和圖3所示的純基礎油的輸出電壓。純基礎油由非極性碳氫化合物組成,信號輸出主要來自弱電子傳遞過程,因此輸出值較低(圖2和圖3)。商用潤滑油由基礎油和其他成分組成,如活性/極性添加劑,即抗磨、分散、防銹添加劑,可以顯著提高電子和離子的界面傳輸。
此外,接觸層的電荷俘獲能力隨著介電常數的增加而增加。所采用的商用發動機油的介電常數遠高于圖S14所示的基礎油的介電常數。因此,商用潤滑油的輸出信號(大于1.0V)遠高于純基礎油的輸出信號(約0.1V)。發動機潤滑油的電壓值最終在廢油含量較高時下降,這與污染基礎油的輸出性能非常一致。發生這種情況的原因是,隨著廢油含量的增加,越來越多的進入污染物(例如磨損碎片)被吸附在介電表面上,并且更多帶有相反電荷的老化誘導離子被吸附到接觸表面上,從而屏蔽了介電表面上的摩擦電荷。生成層。

圖 5.O-S TENG 監測配制潤滑油的輸出特性。與 PTFE 基 (a)、LDPE 基 (b) 和 GLASS 基 (c) O–S TENG 接觸的商用發動機潤滑油的輸出電壓與廢油分數的函數關系。對應于潤滑系統區域 (d) 的車輛草圖。潤滑系統中的油路和油箱示意圖(e)。工業運輸系統中使用的具有單電極的 O-S TENG 設計示意圖 (f)。本研究中用于 O-S TENG 的輸出監視器 (g)。運輸潤滑系統輸出信號實際測試裝置,包括發動機潤滑油、油箱、單電極(h)。發動機潤滑油的輸出電壓與廢油分數 (i,j) 的函數關系。與初始輸出(k)相比,拉伸1500次往復后的輸出特性。
根據以上研究結果,相信所設計的O-S TENG可以應用于實際領域,實現工業應用中的實時在線檢測系統。為了證明這一點,開發了一種自供電傳感器,用于在模擬測試平臺上實時在線監測實際油箱中的發動機潤滑油。車輛的機械運動在學校道路、高速公路、道路交叉口等復雜道路上總會涉及加減速。潤滑油由于慣性,會在車輛油箱的密閉空間內產生油波。當O-S TENG附著在儲罐內壁時,可以從油波與TENG固體表面之間的接觸分離獲得輸出信號。潤滑系統中油路和油箱的車輛簡圖如圖5d、e所示。實時在線 O-S TENG 傳感器由一個短的矩形銅電極組成,該電極完全被 PTFE 薄膜覆蓋,附著在罐的內壁上(圖5f )。數據采集裝置將采集到的數據傳輸至計算機實現實時顯示,如圖5g所示裝置的照片所示。
圖5h所示的油箱由線性電機驅動,產生油波。O-S TENG 的輸出電壓隨著廢油含量較低(0~2 mg mL –1)而略有下降,并且隨著廢油含量從 3 mg mL –1到 20 mg mL -1顯著下降–1。這應該是由于吸收在 TENG 表面上的引入成分的屏蔽效應,例如磨損碎片、沉積碳和老化引起的含氧基團。當油溫升高時,輸出電壓逐漸降低(圖S15)。這是因為高溫會引起熱電子發射,從而降低TENG的輸出性能。所開發的TENG適合在油罐中使用,并且幾乎沒有火災危險,因為電流和電荷的輸出值僅約為±0.4 nA和±0.2 nC(圖S16),對于此類應用是安全的。此外,如圖5k所示,經過1500次循環后,O-S TENG的輸出值沒有明顯變化,這意味著轉移的電荷也與初始原始狀態幾乎相同。因此,往復循環對吸附行為影響很小,表明設計的 O-S TENG 表現出良好的延展性和穩定性。
如果您需要:在線潤滑油狀態監測,請聯系我們。智火柴,國內知名油液監測系統提供商!
咨詢電話:0755-8999 8086 / 138 2521 4309(微信同號)
Copyright ? 2015-2024 智火柴科技(深圳)有限公司 版權所有
備案號:粵ICP備18096323號